Angular Equations Of Motion
Parametric equations in the graphing calculator.

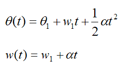
Angular equations of motion. In physics equations of motion are equations that describe the behavior of a physical system in terms of its motion as a function of time. More specifically the. The motion of a non offset piston connected to a crank through a connecting rod as would be found in internal combustion engines can be expressed through several. Rotation is described in terms of angular displacement time angular velocity and angular acceleration.
Angular velocity is the rate of. Where t is kinetic energy 12mv 2 and v is potential energy which we wrote as f in equations and. For example for gravity considered in a small region we. Ap physics c topics.
Mechanics kinematics newtons law of motion work energy and power systems of particles and linear momentum circular motion. Everything youve learned about motion forces energy and momentum can be reused to analyze rotating objects. There are some differences though. Here youll learn.
Advanced engineering systems in motion. Dynamics of three dimensional 3d motion from georgia institute of technology. This course is an advanced study of bodies in. Introduction to parametric equations.




































