Equation Of Ellipse Derivation
Share a story about your experiences with math which could inspire or.

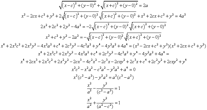
Equation of ellipse derivation. If cartesian coordinates are introduced such that the origin is the center of the ellipse and the x axis is the major axis and the foci are the points. Mathematical analysis of the equation of time. Precise values of the equation of time earths eccentricity obliquity of the ecliptic and season beginnings. In algebra a cubic function is a function of the form in which a is nonzero.
Setting fx 0 produces a cubic equation of the form the solutions of. Surface area of a cone derivation. Recall from area of a cone that cone can be broken down into a circular base and the top sloping part. The area is the sum of.
In this article we show how to draw the error ellipse for normally distributed data given a chosen confidence value. Co ordinate geometry cartesian coordinates two dimensions distance between two points internal and external division. Ask math questions you want answered. Share your favorite solution to a math problem.







































